Every flat 2-dimensional torus can be obtained by identifying opposite edges of a parallelogram.

Each such torus has an involution that fixes four points, marked in four colors above. We can visualize the quotient as a tetrahedron with 180 degree angles at every corner by taking the triangle consisting of the lower left half of the parallelogram, and folding it together.

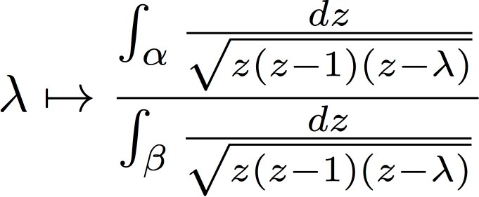
So the space of all tori is nothing but the space of tetrahedra. Each such tetrahedron determines a unique point on the thrice punctured sphere. This can be seen by constructing the elliptic function on the torus determined by sending red to infinity, yellow to 0, and green to 1. The unique point is then the value of blue, and is called the modular invariant of the torus. To go backwards, take a point in the thrice punctured sphere and compute the quotient of elliptic integrals (using independent cycles)

This complex number is the ratio of the two edges of the parallelogram that defines the torus.
This map is a Schwarz-Christoffel map: It maps the upper half plane to a circular triangle with all angles 0.
Restricting it to the upper half disk has as its image one half of such a triangle, namely

Let’s repeat all this starting again with a parallelogram, which now has been removed from the plane.

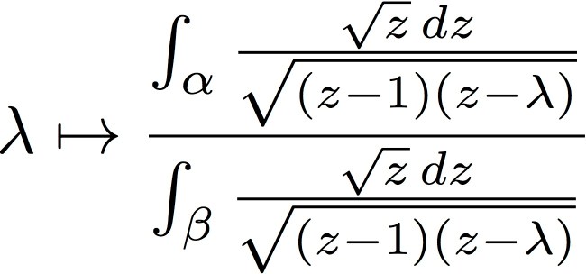
Identifying again opposite edges defines a translation structure on a punctured torus that corresponds to a meromorphic 1-form with a double order zero at red (because the cone angle there is 6π), and a double order pole at infinity (yellow) (because the holomorphic 1-form dz has a double order pole at infinity). For a given modular invariant, we can determine the parallelogram to use using another Schwarz-Christoffel map

which maps the upper half disk to a different circular polygon:

Curiously, we see that the ratio of the edge vectors of the parallelogram can now also lie in the lower half plane or even be real, in which case the parallelogram degenerates. For instance, we can construct a torus that corresponds to the quotient -1 by slitting the complex plane from -1 to 1, and identifying the top of the slit from -1 to 0 (resp. 0 to 1) with the bottom of the slit from 0 to 1 (resp. -1 to 0).

This corresponds to an ordinary torus whose parallelogram is a rhombs with angle 70.7083 degrees. Next time we will see what this torus is good for.

























































