
My first encounter with the inversion at a circle happened through Stan Ogilvy’s wonderful little book Excursions in Geometry. It is like a magic key: When you know how to use it, it opens many doors. The definition is simple: A point at distance r from the center of the uniut circle is inverted to a point on the ray through that point at distance 1/r.
One of the magic facts one has to learn is that this inversion maps lines or circles to lines or circles. More precisely:
- Lines through the origin or mapped to lines through the origin.
- Circles through the origin or mapped to lines not through the origin (and vice versa).
- Circles not through the origin or mapped to circles not through the origin.
Why is this true? One can of course prove this by computation. The formulas are not pretty and provide little insight. One can argue geometrically, but the diagrams get very messy. I suspect that a decent way to to this is to define a circles/line through three points as the set of points whose cross ratio with the three points is real, and then show that Möbius transformations preserve cross ratios. But arguments quickly become circular this way…
Here I am outlining a hybrid approach. We will only use two simple facts about triangle. Thales theorem

characterizes circles as those points that make a right angle over a given hypothenuse. Secondly a triangle ABC has a right angle at C if the pre-Pythagorean theorem AD AB = AC^2 holds. This follows from the similarity of triangles ABC and ACD.
We will now begin with the simplest non-trivial case, where the vertical straight line tangent to the unit circle at 1, is inverted to a circle with center at 1/2 and radius 1/2.

We use our geometric preliminaries: By Thales, the point q’ lies on the orange circle iff the angle at q’ is a right angle. This is the case iff the two triangles 01q’ and 0q1 are similar, and that is true iff |q||q’|=1.
That case was easy. All other non-trivial cases have significantly more complicated proofs, as far as I know. Therefore we will reduce all other cases to the one we just saw.
We will look at an arbitrary vertical line L not through the origin.
Let R(z) = r z be a homothety with r being fixed positve number chosen so that R maps our line to the vertical line through 1. We denote the inversion by I(z) = z/|z|^2. Please check in your head that R I R = I. This means that we can determine I(L) by computing R(I(R(L))). This is easy, because R(L) is the vertical line through 1, I(R(L)) the circle centered at 1/2 with radius 1/2, and R(I(R(L))) a circle through the origin. Because inversion is compatible with rotations about the origin, we have no proven the second statement above. The first was trivial.

Next we look at a circle C that touches the unit circle at the point 1.
For notational simplicity, we will argue with the reciprocal map 1/z instead of I(z). They only differ by a complex conjugation. Then
- z-1 maps C to a circle through 0.
- 1/(z-1) maps C to a line not through 0.
- 1+1/(z-1) maps C to another vertical line.
- 1/(1+1/(z-1)) maps C to another circle.
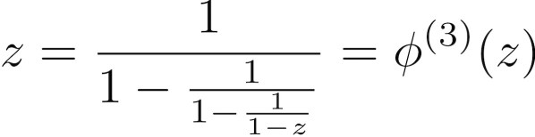
- 1-1/(1-1/(1-z)) maps C to another circle.
So far so good. That last expression turns out to be equal to 1/z, so that in fact 1/z maps C indeed to a circle. I promised no serious computations.
Why then is this strange identity true? By taking reciprocals, it can be written even more dramatically as

where φ(z) = 1/(1-z). No φ is a Möbius transformation that maps 0 to 1 to ∞ to 0. This means that its third power fixed these three points and therefore must be the identity as claimed.

Lastly, we need to consider a general circle not through 0. Using a homothety R as before, we can map it to a circle touching the unit circle, invert, and scale again, using RIR=R.
It is a pity that this material is not taught in high schools, and even considered “obscure”. Its close cousin, the stereographic projection, and its corresponding properties were at the foundation of Astronomy and Navigation all the way through the Middle Ages. Only Mercator’s projection improved on the Astrolabe. Moreover, the inversion opens the door to hyperbolic geometry.

































